We use cookies and other technologies for functionality, security, and to provide you with a personalized experience on our online services. By continuing to use our online services, you agree to our Privacy Policy and Terms of Use. For information on how to adjust your privacy settings, visit our Cookie Policy.
Dismiss
Home AB Division No. 5 Drumheller
169 10 Avenue SE
Directions Print
169 10 Avenue SE $52,700
$52,700
Hide
Favourite

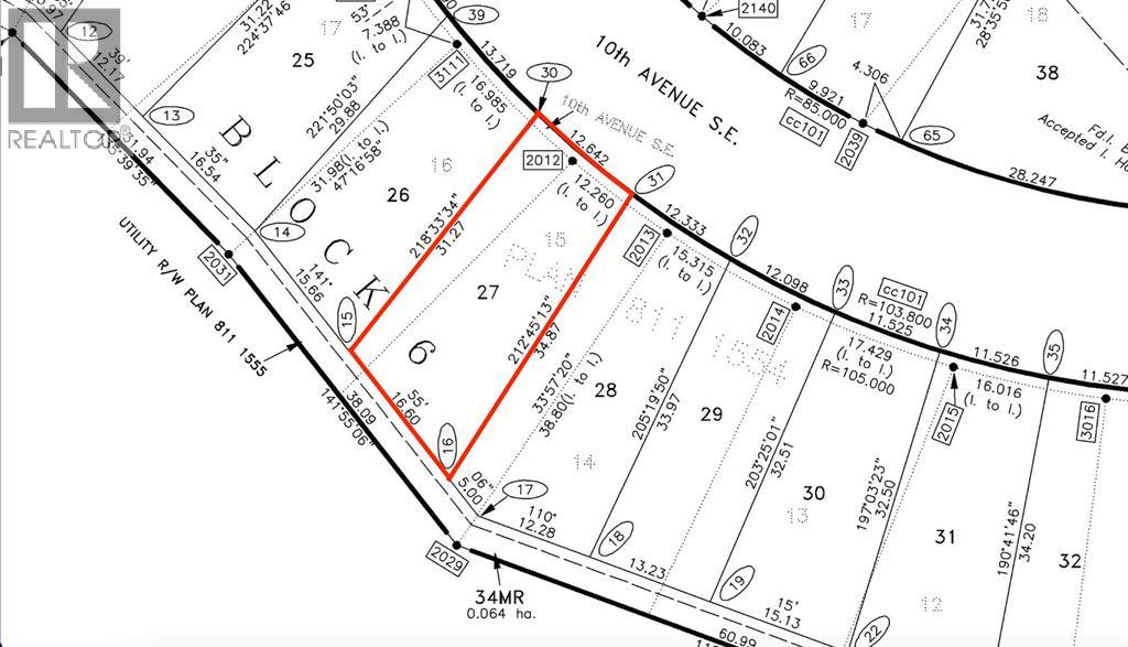
169 10 Avenue SE
Drumheller, Alberta T0J0Y6

MLS® Number: A2148889

Listing Description

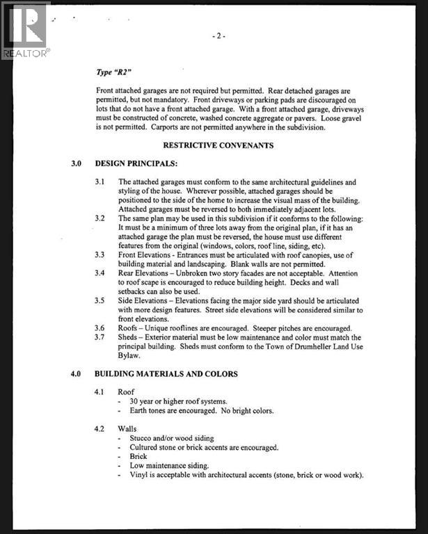
Residential lots for sale in Drumheller’s newest subdivision of Hillsview! All of these lots offer full services including power, water, sewer and natural gas at the lot line. These lots are ready to built on. The neighborhood is surrounded by the badlands and well located to to downtown Drumheller and the Shops on Highway 9 South. There is the option to combine some of these lots to make your lot even bigger! Start getting your new home plans ready for the Hillsview subdivision today! Limited lots available, so come early to get your choice of lots! Buyer must fill out a development permit application sheet as part of the offer outlining what they will build, who their contractor is, and outline the timeline that starts substantial construction within 8 months and completes construction with 24 months. Offers must be left open for 3 weeks from the date submitted. (29329935)

Property Summary

Property Type
Vacant Land
Community Name
Bankview
Subdivision Name
Bankview
Title
Freehold
Land Size
5204 sqft|4,051 - 7,250 sqft
Age Of Building
Age is unknown
Annual Property Taxes
$0
Time on REALTOR.ca
570 days

Land

Lot Features
Fencing
Not fenced
Other Property Information
Zoning Description
ND
Data provided by: Pillar 9™
Are you interested in touring this listing?
Request a showing

Similar Listings

Bob Sheddy